3227: 习题5-13 迭代法求平方根
Memory Limit:12 MB
Time Limit:1.000 S
Judge Style:Text Compare
Creator:
Submit:4
Solved:6
Description
输入一个非负实数a,用迭代法求平方根

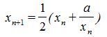
求平方根的迭代公式为

要求前后两次求出的x的差的绝对值小于10-5
从键盘输入非负实数a和迭代初值x0,输出满足条件的xn+1
C数学库中有求绝对值的函数fabs.
Input
非负实数a和迭代初值x0(要求double类型)
Output
输入非负实数的平方根,保留6位小数,末尾换行。
Sample Input Copy
10 3
Sample Output Copy
3.162278